2024年度十大考古新发现 | 北京房山琉璃河遗址
北京房山琉璃河遗址
发掘单位:
北京市考古研究院、北京大学、中国社会科学院考古研究所、北京考古遗址博物馆
项目负责人:
郭京宁
琉璃河遗址位于北京市房山区琉璃河镇,地处大石河北岸,主体为西周时期遗存,分布范围约5.25平方公里,包括董家林、黄土坡、刘李店、立教、洄城等村,也是燕山南麓地区目前所知面积最大的西周遗址。
琉璃河遗址鸟瞰
琉璃河遗址发掘区域实测图
2019年以来,共勘探80余万平方米,新发现西周时期夯土基址、灰坑、墓葬等各类遗迹930余处;共发掘3400平方米,包括外城墙、外城壕、大型夯土建筑基址1处、大型夯土井2处、墓葬52座及小型房址、灰坑等,在城市布局结构、高等级建筑位置与结构、各等级墓葬分布、社会组织与生业研究等方面得到新的收获与认识如下:
一、外城壕和城墙明确了遗址的两重城垣结构
以往发现的内城之外新发现外城壕和外城墙。外城壕可见北段、东段,探明长度约1020米,其西侧、东南侧与大石河滩地相连。北段位于内城以北约350米处,方向82°,与内城墙北段一致;东段方向为西北-东南走向。外城壕北段南侧有外城墙,但东段地表破坏严重,不见外城墙遗迹。
外城墙和外城壕北段航片
外城墙和外城壕北段剖面图
外城壕平均宽约7~8米,最宽近12米,最深约2.8米。外城壕边缘明显,壕内堆积可分12至16层:壕壁斜直、壕底近平,底部有淤土,说明曾有水流经,其上有人为填埋的灰土,壕内第2、3层堆积层下开口有祭祀牛坑8座,另有填埋在壕沟内的整羊、猪、狗等。
外城壕中的祭祀牛坑
外城墙见于北段两处发掘地点,位于外城壕南侧3~5米开外,残宽6~9米,仅余基槽底部,为花土夯筑,可见版筑痕迹,残深20~30厘米。
根据打破关系、出土遗物、碳十四测年结果,壕沟使用年代约为西周早期,西周中期前废弃。根据外城壕位置推测,城址规模可达百万平方米。
二、大型夯土设施揭示了高等级建筑群的规模与结构
大型夯土建筑区平面正射影像
JZ2正南方和东北方各有一大型夯土井HJ3、HJ4,井深逾10米。井外土圹内的夯土范围近圆形,面积532~560平方米,规模巨大。HJ3井口已塌毁,直径约3米,周边有大小鹅卵石铺就的铺石面。井口外东北有柱础2处;西南有南北向立石带3条,间距2.4~2.5米,可能为道路包边;井外东南有一水池打破夯土。水池被西周晚期灰坑打破,残存部分呈圆角长方形,东西残长7.5、南北残宽4.5米,壁面斜直,池底、池壁铺有整齐的大块鹅卵石。西侧有一马坑打破夯土边缘。
HJ3附属设施
该片建筑区的西周遗迹内出土刻辞卜甲、刻辞卜骨、原始瓷片、铜容器陶范、陶模等高等级遗物和带瓦钉板瓦、墙皮、红烧土块等高等级建筑材料。
夯土建筑区出土的建筑构件
建筑区高等级遗物拼图
内城中新发现10口大型夯土井,夯土直径均在15米以上,部分存在配套设施,在城内分散分布,可能是一个城市单元的标识性要素,可为探索西周城市分区、闾里制度提供了线索。
琉璃河遗址勘探成果图与水井分布图
三、成组大型墓葬确认了燕侯家族墓地
在系统梳理以往成果基础上,本阶段工作对黄土坡村北进行了系统勘探,共发现带墓道墓葬17座,其中带“斜角墓道”墓葬4座、“中”字形双墓道墓葬4座、“甲”字形单墓道墓葬9座,推测为燕侯家族墓地。以往出土克盉、克罍的M1193和“中”字形墓葬M202正位于燕侯墓地西端。
燕侯墓地平面图
大型贵族墓M2401出土马辔饰
大型贵族墓M2401出土漆豆斗勺盘组合
小型贵族墓M1902出土器物组合
作册奂器组合及“太保墉燕”铭文
燕侯墓地的发现弥补了贵族墓葬分布规律中最关键的一环,由此可大致推断琉璃河遗址作为燕国都城的延续时间,为填补燕侯世系空白提供重要考古依据。
四、平民墓地探索了西周基层社会组织结构
本阶段工作在内城之外新勘探出了多处小型平民墓地,与贵族墓葬在黄土坡村的集中分布有所不同,为团块状广泛分布于内城外东侧、北侧。
在城北方向发现并揭露平民墓地,发掘小型墓葬33座,均为长方形竖穴土坑墓。墓向以南北向为主。葬具大多数为单棺,少数为一棺一椁。墓主人男女皆有,绝大多数为成年个体,葬式以仰身直肢葬为主。随葬品多为单鬲或鬲、簋、罐的陶器组合。部分墓葬在腰坑内殉狗或在填土内殉狗,有随葬动物左前腿的现象,具有较为浓厚的商文化因素。该片墓地墓主人骨骼的碳氮同位素比值较黄土坡贵族墓葬区显著偏低,与墓主人平民身份相符。
城北家族墓地航片
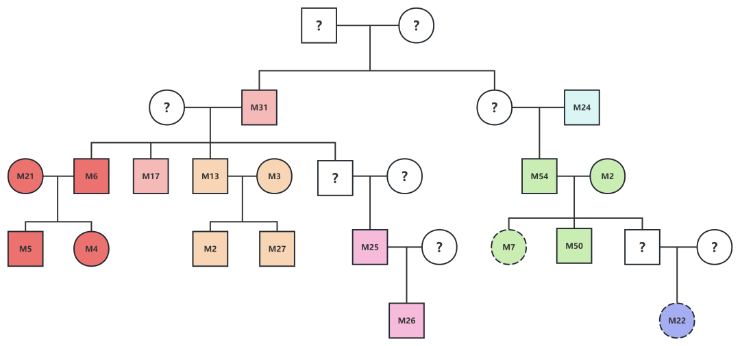
通过人类全基因组高分辨率亲缘关系鉴定的最新方法,可在该墓地中辨识出一组四代家族树,判断该墓地的家族关系是以父系遗传为纽带,并且存在近亲结婚的现象。这是国内首次在商周考古领域重建的家族树,为研究商周考古所关心的墓葬排列方式、组织结构提供了新的技术路线,是研究古代家族关系、社会结构的重大进展。
城北平民墓地家族关系
工作照
公众考古中学生在进行考古勘探记录
琉璃河考古队合影
文物保护理念下的夜间发掘
来源:国家文物局 公众号 链接:十大考古终评项目丨封疆授土 太保墉燕——北京房山琉璃河遗址
